
Les glucides (sucres (سكريات)) constituent des sources importantes d'énergie à travers le catabolisme. Ils sont impliqués dans la biosynthèses d'autres molécules en fournissant des squelettes carbonnés. La structure des glucides permet de distinguer des oses (sucres simples), des osides (diholosides polyholosides). Les glucides rentrent dans la structure d'aures molécules comme les acides nucléiques (DNA et RNA), ...
Les oses ont pour formule chimique générale (CH2O)n où n peut définir un triose, un tétrose, un pentose, un hexose,..L'oxygène appartient à des groupements hydroxyl (alcool) ou carbonyl (aldéhyde ou cétone). Télécharger 'Monosaccharides, oses' (Ar).
Selon l'état d'oxydation du carbone C1, on distingue les aldoses (HOC-CHOH-CH2OH) et les cétoses (CH2OH-CO-CHOH-CH2OH).
ما هي السكريات الأحادية البسيطة أو أوز (Oses) ؟ |
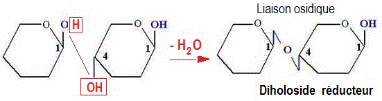
Deux oses peuvent s'unir par une liaison glycosidique. Selon le mode de laison contractée, le diholoside (disaccharide, (سكر ثنائي ) peut être un diholoside non réducteur ou un diholosides réducteur. Le pouvoir réducteur est conféré par la fonction aldéhyde (OH hémiacétalique) maintenue libre (non engagée dans la liaison glycosidique).
Diholoside non réducteur: La liaison glycosidique est de type osido-oside. Le diholoside est non réducteur


كيف
تتكون السكريات الثنائية (Diholosides) ؟ |

L'amidon et le glycogène représentent des exemples de polyosides aux échelles du végétal et de l'animal, respectivement.
Amidon - النشا
كيف
تتكون السكريات العديدة (Polysaccharides) ؟ |
- PASSER UN CONTROLE QCM SUR LES SUCRES (THEORIE + PRATIQUE)

- Biochimie structurale (Contrôle final QCM corrigé, S3 (archives 2024)
- السكريات. بنيات
Carbohydrates. Structures (Ar)
- سكريات أحادية
Carbohydrates. Monosaccharides (Ar)
- تركبة السكريات الثنائية
Structure of disaccharide carbohydrates (Ar)
- السكريات العديدة - Carbohydrates, Polysaccharides (Ar)
- السكريات. أشغال تطبيقية- Carbohydrate. Training (Ar)
- Monosaccharides (oses)
- Disaccharides
- Polysaccharides
- QCM-glucides 1
- QCM Glucides 2
- Lipides-Protéines-Membrane (QCM)
- Visualisation 3D des Glucides (Sucres)
- Sucres
(Glucides). Rôles et classification - السكريات. أهميتها و تقسيمها
- Travaux pratiques
(TP) S3, Glucides (sucres)
- Dosage des sucres
réducteurs et amidon (TP S3)
- Lipides-Protéines
- Enzymologie invertase
- Matériaux de base (lipides, glucides, protéines et acides nucléiques) dans les programmes de l'enseignement secondaire

Chaine
Youtube (abonnement). Vidéos multilingues
-
من علوم الحياة إلى البيوكيمياء
Des Sciences de la vie au Lycée à la Biochimie à l'Université
-
تحميل ملفات في مواضيع البيوكيمياء
Téléchargement de fichiers en Biochimie
Afin de pouvoir continuer à servir les visiteurs, soutenez nos actions sur le site takween en faisant acquisition des ouvrages et supports pédagogiques desitinés à améliorer l'enseignement et la recherche scientfique en Biochimie.